Un nuevo estudio ha descubierto que fumar cigarrillos electrónicos puede aumentar el riesgo de prediabetes. Y quienes fuman cigarrillos tradicionales y electrónicos podrían estar incrementando ese riesgo al consumirlos simultáneamente.
La prediabetes es una afección en la que el nivel de azúcar en la sangre es superior al promedio y tiende a aparecer antes de que las personas desarrollen diabetes tipo 2. Si bien la prediabetes es reversible, significa que ya podría estar presente algún daño cardíaco, renal y nervioso.
Está bien establecido que los fumadores tienen un mayor riesgo de padecer diabetes, pero los efectos de los cigarrillos electrónicos (también conocidos como vaporizadores de nicotina) sobre el azúcar en sangre siguen siendo confusos. Con la esperanza de obtener algo de claridad, el economista de salud Sulakshan Neupane de la Universidad de Georgia dirigió un equipo que analizó más de 1,2 millones de puntos de datos, recopilados por teléfono durante una encuesta de los CDC de Estados Unidos. Con estos datos, Neupane y su equipo exploraron las asociaciones entre la prediabetes o la diabetes y el uso de cigarrillos electrónicos, ya sea solos o junto con cigarrillos combustibles.
Las personas cuyo único consumo de nicotina provenía de cigarrillos electrónicos tenían un 7% más de probabilidades de tener prediabetes que los no fumadores. Esto equivale a 7000 casos adicionales de prediabetes por cada millón de usuarios de cigarrillos electrónicos en EE. UU. En comparación, las personas que fumaban exclusivamente productos tradicionales con nicotina, como cigarrillos y puros, tenían un 15% más de probabilidades de tener prediabetes que los no fumadores.
Y aquellos que vapeaban y fumaban tenían el mayor riesgo de prediabetes: 28% más que los no fumadores.
“El uso de cigarrillos electrónicos por sí solo aumenta la probabilidad de prediabetes, mientras que el uso combinado conlleva un riesgo adicional. Este estudio destaca el posible daño combinado derivado del uso de ambos tipos de productos”, afirma Neupane.
El equipo también descubrió que quienes fumaban simultáneamente tenían un mayor riesgo de desarrollar diabetes: un 9% más que los no fumadores. Este riesgo era mayor que el de quienes solo fumaban cigarrillos tradicionales, cuyo riesgo era un 7% mayor que el de los no fumadores.
“En una época en la que los cigarrillos electrónicos se comercializan como una alternativa ‘más segura’ que fumar, esto sugiere que pueden entrañar un peligro oculto y pueden estar contribuyendo silenciosamente a problemas de salud a largo plazo como la prediabetes y la diabetes”, dice Neupane.
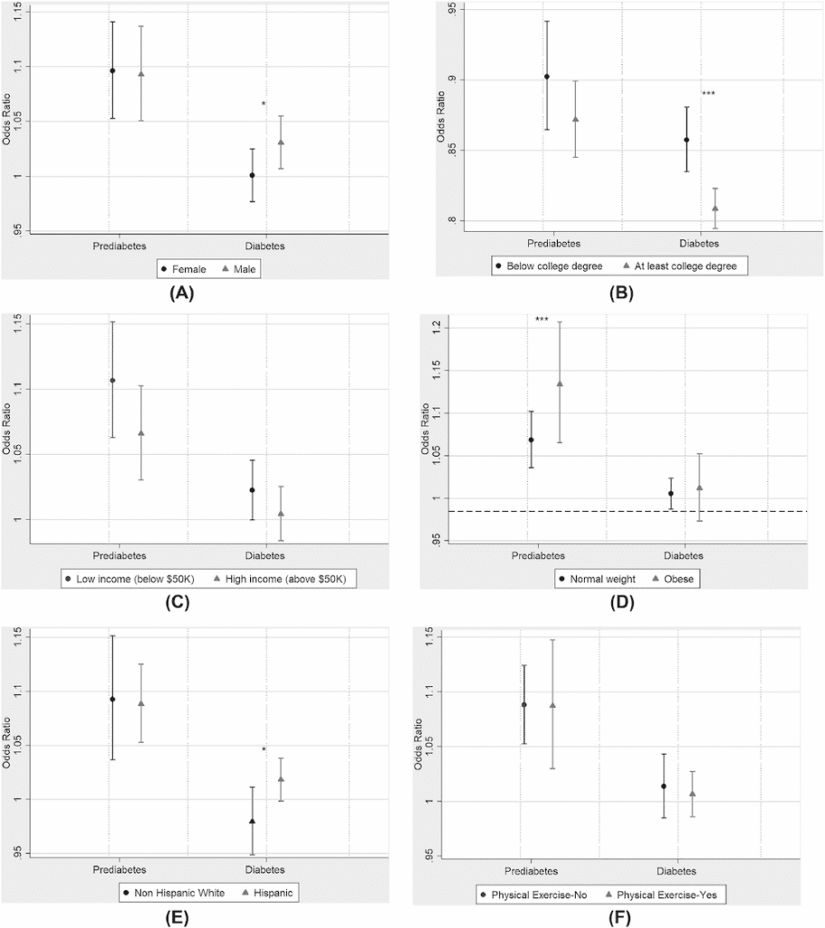
El estudio también reveló que los usuarios de cigarrillos electrónicos con sobrepeso u obesidad presentaban un mayor riesgo de prediabetes que los usuarios con un peso inferior. Las personas hispanas, negras y asiáticas también presentaban un mayor riesgo que las personas blancas.

Este estudio presenta varias limitaciones. En primer lugar, es observacional, por lo que no hay forma de saber si el vapeo causa prediabetes. Es posible que algún otro factor aumente el riesgo de prediabetes, posiblemente al aumentar la probabilidad de que las personas comiencen a vapear.
“Las personas que no ganan suficiente dinero experimentan estrés mental y tienden a fumar o consumir alcohol para reducir ese estrés, lo que conduce a un aumento de estos factores de riesgo”, dice Neupane.
Los datos de salud autoinformados no son necesariamente precisos, y la información utilizada aquí se recopiló durante un corto período de tiempo, por lo que no puede brindar información sobre el cambio a lo largo del tiempo. No obstante, estos resultados provienen de una cohorte amplia. Hasta que las personas hayan vapeado durante el tiempo suficiente como para desarrollar efectos secundarios claros a largo plazo, las correlaciones y los estudios en animales son lo mejor que tenemos.
“A medida que el uso de cigarrillos electrónicos aumenta rápidamente, es vital que comprendamos sus amplios impactos en la salud”, afirma Neupane. “Ya no se trata solo de los pulmones, sino de todo el cuerpo y la salud metabólica”.
Esta investigación fue publicada en AJPM Focus.
Fuente: Science Alert.
